Un monitor, por definición, es un dispositivo que observa, verifica, controla, advierte o mantiene un registro continuo de algo. Un monitor de audio, un monitor de estudio o un altavoz de monitorización es más que un altavoz que suena bien. Es un dispositivo utilizado en el proceso de grabación, mezcla o radiodifusión de audio en cualquier entorno en el que se requiere una audición de precisión. Un monitor es una herramienta profesional.
La tarea de un monitor de referencia es revelar la verdad de la fuente que está siendo monitorizada. No debe añadir nada, ni eliminar ni enmascarar nada. Dicho monitor debe instalarse en la habitación en una posición óptima, minimizando las influencias de su entorno. Lo que realmente escuchamos es la combinación de nuestra capacidad de escucha, el rendimiento del monitor y la acústica de la sala.
Conceptos básicos de sonido
El sonido es, en última instancia, la presión que existe en una secuencia de ondas que se propagan a través de medios comprimibles, tales como el aire o el agua. El sonido viaja, aproximadamente, a 344 m/s (1130 pies/s). El sonido tarda 3 ms en viajar 1 metro (3,3 pies).
En condiciones de campo abierto, (sin paredes, suelo, o techo) el volumen del sonido disminuye 6 dB cuando se dobla la distancia.
| Distancia | Nivel sonoro | Disminución de volumen |
| 1 m | 100 dB | 0 dB |
| 2 m | 94 dB | -6 dB |
| 4 m | 88 dB | -12 dB |
El nivel sonoro aumenta 3 dB cuando se dobla la potencia del amplificador.
| Potencia Amp | Nivel sonoro | Aumento de volumen |
| 100 W | 85 dB | 0 dB |
| 200 W | 88 dB | +3 dB |
| 400 W | 91 dB | +6 dB |
El nivel de presión sonora de referencia (SPL) estándar de la industria para trabajos de producción de sonido de cine y televisión, medido en la posición de escucha, es de entre 82 y 85 dB.
Espectro de frecuencia
El espectro de frecuencia de una señal eléctrica, según la definición del diccionario on line de Collins, es «la distribución de las amplitudes y fases de cada componente de frecuencia, en función de ésta”. El espectro de frecuencias audibles cubre 10 octavas (hasta 40 Hz, 80, 160, 320, 640, 1’280, 2’560, 5’120, 10’240, 20’480 Hz) que dividen el espectro del siguiente modo.
| Frecuencias graves subsónicas | Por debajo de 16 Hz | No audibles por los humanos. |
| Frecuencias muy bajas | 16 Hz – 40 Hz 40 Hz – 80 Hz |
Octava más baja audible para los humanos. Frecuencias musicales bajas, bombos, instrumentos graves |
| Frecuencias bajas | 80 Hz – 160 Hz 160 Hz – 320 Hz |
Registro inferior de un piano de cola. Do central de un piano. |
| Frecuencias medias | 320 Hz – 1’280 Hz | Frecuencias musicales de gama media |
| Frecuencias medias superiores | 1’280 Hz – 2’560 Hz 2’560 Hz – 5’120 Hz |
Armónicos de bajo orden de la mayoría de los instrumentos. El oído es más sensible a esta gama. |
| Frecuencias altas | 5’120 Hz – 10’240 Hz | Brillo y armónicos |
| Frecuencias extremadamente altas | 10’240 Hz – 20’480 Hz | Armónicos más elevados, por encima de 20 kHz, Inaudibles para los humanos |
Radiación del sonido
A bajas frecuencias, típicamente por debajo de 200 Hz, los monitores radian de forma omnidireccional. Esto significa que se genera la misma presión sonora hacia cualquier dirección desde el monitor. A frecuencias más elevadas, la radiación se convierte en direccional: las frecuencias medias irradian en un patrón hemisférico y las frecuencias muy altas pueden irradiar en un patrón de haz o similar a un rayo. Genelec diseña monitores con una directividad controlada y minimiza los cambios en la directividad a lo largo de las frecuencias.
En la siguiente ilustración se muestra la propagación de una onda sonora en varias gamas de frecuencia.

En la sección Colocación de los monitores puede leer más sobre la importancia de la radiación en la colocación de los altavoces.
Seleccionando los monitores
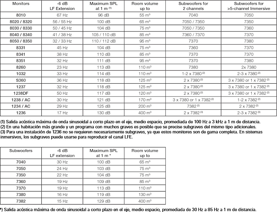
Genelec recomienda monitores de estudio basados en distancias de escucha y niveles de presión sonora (SPL) típicos. Está disponible un subgrave adecuado para cada modelo y tamaño de monitor. En esta guía basada en internet, ofrecemos trucos para encontrar la configuración correcta para su sistema, aunque también puede pedir asesoramiento a su distribuidor local para que le ayude con su caso particular. La selección de los altavoces de monitorización correctos empieza por definir la distancia de escucha e identificar el área de audición óptima.
Niveles de presión sonora
Es crucial la distancia entre usted y sus monitores, tanto en términos de rendimiento como de nivel SPL entregado en el punto de escucha. Utilice la tabla mostrada aquí para comparar la capacidad SPL de los monitores de Genelec. Nuestros distribuidores podrán ofrecerle más ayuda en el proceso de selección para su caso concreto; éstas son solo líneas generales.

Dominancia del sonido directo
El balance entre el sonido directo y el sonido reverberante ejerce una profunda influencia en cómo sonarán sus mezclas. La tabla que se muestra a continuación le ayudará a identificar la gama óptima de distancias de escucha para los productos Genelec.

Comportamiento del producto
En las tablas de comportamiento del producto proporcionamos algunas recomendaciones, basadas en el volumen de las salas, sobre qué productos Genelec funcionarían mejor, teniendo en cuenta el volumen de la sala.

Visite también:
![]() |
![]() |
|
Cómo colocar sus monitores |
Calibración del monitor y mejora de la acústica |
|

